Loan Details
Investment Frequency
Investment Amount
₹
₹25,000₹3,00,00,000
Tenure
yrs
1yrs20yrs
Interest
%
6%15%
Total Investment Value
| Total Investment (In 10 years) | Total Interest Earned (In 10 years) | Total Investment value (In 10 years) |
|---|---|---|
| ₹NaN | ₹0 | ₹NaN |
| Total Principal Payable (In 10 years) |
| ₹20,00,000 |
| Total Interest Payable (In 10 years) |
| ₹NaN |
| Monthly EMI (Interest + Principal) |
| ₹NaN |
| Total Payment (In 10 years) |
| ₹NaN |
Growth in investment
Your total investment value after 10 years is expected to be ₹NaN
SIP Calculator – Plan Your Investments Smartly
Systematic Investment Plans (SIPs) have revolutionized wealth creation by allowing investors to invest small amounts consistently over time. A SIP calculator helps you estimate the potential returns on your SIP investments by considering factors such as investment amount, duration, expected rate of return, and compounding effect.
What is a SIP and How is it Useful?
A Systematic Investment Plan (SIP) is a disciplined investment approach where investors contribute a fixed amount periodically (monthly, quarterly, etc.) into a mutual fund. This method enables investors to accumulate wealth over time without the need for large lump-sum investments.
Key Benefits of SIPs:
- Power of Compounding: Regular investments grow exponentially over time, thanks to compound interest.
- Rupee Cost Averaging: SIPs allow investors to buy more units when prices are low and fewer when prices are high, averaging out the cost per unit.
- Affordable & Flexible: You can start investing with as little as ₹500 per month and increase contributions as your income grows.
- Mitigates Market Volatility:Since investments are spread over time, SIPs reduce the impact of short-term market fluctuations.
- Disciplined Saving: Encourages long-term financial discipline and goal-based investing.
How Does the SIP Calculator Work?
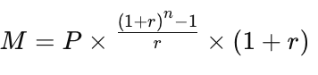
The Quicklend SIP Calculator simplifies financial planning by providing instant results based on the SIP formula:

Where:
- M = Maturity amount
- P = Monthly SIP investment
- r = Expected rate of return (annual return divided by 12 and expressed in decimal)
- n = Investment duration in months
By inputting your monthly SIP amount, expected annual returns, and tenure, you can get a clear projection of your corpus at the end of the investment period.
Benefits of Using Quicklend SIP Calculator
- Accurate Planning: Helps estimate future returns, enabling better financial decisions.
- Time-Saving:Eliminates the need for manual calculations.
- Scenario Analysis:Allows you to adjust variables and explore different investment outcomes.
- User-Friendly Interface:Simple and intuitive for beginners and seasoned investors alike.
Why Invest Through SIPs?
SIPs are an excellent way to build wealth steadily. The power of compounding, coupled with rupee cost averaging, makes SIPs a preferred choice for long-term investors. Additionally, SIPs help mitigate market volatility, making them a safer option compared to lump-sum investments.
Get instant cash with
Loan against
Mutual
Funds at 10.3%
interest only.
Know moreLoan against
Mutual
Funds at 10.3%
interest only.